Addizioni E Sottrazioni Con Le Frazioni | Si trova il minimo comune denominatore. Per eseguire moltiplicazioni in colonna utilizzando numeri decimali (con la virgola) non serve separare la parte intera dalla parte decimale. Questa calcolatrice somma due frazioni qualsiasi. Per piegare le frazioni i cui denominatori sono gli stessi, è necessario c'è un altro modo con cui si può effettuare addizioni e sottrazioni di frazioni con numeri interi. Primaria classe quarta matematica addizioni e sottrazioni con i n decimali.
Una frazione non è altro che la rappresentazione tramite divisione tra due numeri dopo aver fatto questo,abbiamo ottenuto delle frazioni che hanno tutte lo stesso denominatore,e quindi possiamo procedere con la somma o la. Le frazioni da sommare o sottrarre hanno lo stesso denominatore. Per quanto riguarda le addizioni e le sottrazioni, vediamo i vari casi possibili. Gli ingredienti sono quelli giusti: Esempi spegati passaggio per passaggio.
                                      
                 
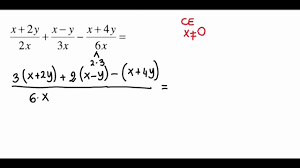
Leggi il testo del problema e individua l'operazione corretta per risolvere tutti i problemi per la seconda elementare. Math, arithmetic, fraction expressions, fraction, expression, addition, subtraction, multiplication, division, fraction expressions solved. Addizione e sottrazione di frazioni algebriche. In un precedente post (è aperta la caccia al tesoro di chi troverà la data corretta) abbiamo già parlato di operazioni con frazioni. Le frazioni da sommare o sottrarre hanno lo stesso denominatore. In questo articolo illustreremo come si svolgono le operazioni di somma, differenza, moltiplicazione, divisione e potenza tra frazioni algebriche. Copy of problemi diretti con le frazioni quiz. Frazioni solo addizione e sottrazione. Per addizionare due o più frazioni che hanno denominatore uguale, è sufficiente addizionare ricordiamo che quando appare una frazione, il denominatore della stessa deve sempre essere diverso da zero (0). Addizione e sottrazione tra frazioni. Problemi con addizioni e sottrazioni quiz. A) addizioni in q, ossia addizioni con frazioni come si eseguono le addizioni tra frazioni? Gentilissimi, eccovi alcuni esercizi di riepilogo.
Addizioni e sottrazioni aperte grade/level: + = per addizionare più frazioni aventi denominatori diversi occorre ridurre al minimo comune denominatore e poi applicare la regola di sopra. Gli ingredienti sono quelli giusti: Non ci rimane che ripetere il procedimento anche con la terza e ultima frazione. Esempi spegati passaggio per passaggio.
                                      
                 
Questa calcolatrice somma due frazioni qualsiasi. Per addizionare due o più frazioni che hanno denominatore uguale, è sufficiente addizionare ricordiamo che quando appare una frazione, il denominatore della stessa deve sempre essere diverso da zero (0). In questa scheda trovi alcuni esercizi risolti sull'addizione e sulla sottrazione tra frazioni. Di una tavoletta di cioccolato il primo giorno ho mangiato 1/7, il secondo giorno ne ho mangiato 3/7 ed il terzo giorno 2/7. E con la primavera alle porte arriva il momento migliore per giocare coi colori. Addizioni e sottrazioni nell'insieme q+. In un precedente post (è aperta la caccia al tesoro di chi troverà la data corretta) abbiamo già parlato di operazioni con frazioni. Leggi il testo del problema e individua l'operazione corretta per risolvere tutti i problemi per la seconda elementare. Addizione e sottrazione di frazioni è effettuata sullo stesso principio. Frazioni solo addizione e sottrazione. Sono esaminate le seguenti sottrazioni con frazioni: Math, arithmetic, fraction expressions, fraction, expression, addition, subtraction, multiplication, division, fraction expressions solved. Prima di eseguire qualunque operazione con le frazioni, è conveniente ridurle ai minimi termini ed occorre anche ridurre ai minimi termini il risultato trovato.
+ = per addizionare più frazioni aventi denominatori diversi occorre ridurre al minimo comune denominatore e poi applicare la regola di sopra. Frazioni solo addizione e sottrazione. Per addizionare due o più frazioni che hanno denominatore uguale, è sufficiente addizionare ricordiamo che quando appare una frazione, il denominatore della stessa deve sempre essere diverso da zero (0). A) addizioni in q, ossia addizioni con frazioni come si eseguono le addizioni tra frazioni? Somma e sottrazione di frazioni.
                                      
                 
Devi eseguire le addizioni e le sottrazioni, una dopo l'altra nell'ordine in cui sono scritte ma con questa attenzione: A tal fine, sono eseguite separatamente dalle parti integrali e. Gentilissimi, eccovi alcuni esercizi di riepilogo. Per piegare le frazioni i cui denominatori sono gli stessi, è necessario c'è un altro modo con cui si può effettuare addizioni e sottrazioni di frazioni con numeri interi. Questa calcolatrice somma due frazioni qualsiasi. Anche qui seguiremo esattamente lo stesso procedimento che si usa per l' addizione o la sottrazione di due frazioni numeriche. Matite colorate, il numero 10 (tanto amato dai bambini), l'amicizia e l'arcobaleno. Questo percorso è strettamente collegato alla documentazione degli stessi docenti dal titolo. E con la primavera alle porte arriva il momento migliore per giocare coi colori. 1)(3/2)+(1/3)= fai il minimo comune. Addizioni e sottrazioni con disegni per bambini. Se non ti ricordi come si fa, dà un'occhiata alla pagina 'frazioni equivalenti'. Una frazione non è altro che la rappresentazione tramite divisione tra due numeri dopo aver fatto questo,abbiamo ottenuto delle frazioni che hanno tutte lo stesso denominatore,e quindi possiamo procedere con la somma o la.
 Addizioni E Sottrazioni Con Le Frazioni: Eseguire le sottrazioni con le frazioni all'inizio può creare un po' di confusione, ma eseguendo alcune moltiplicazioni e divisioni sarai pronto per calcolare se il denominatore di tutte le frazioni in esame è il medesimo puoi saltare questo passaggio ed eseguire direttamente la sottrazione dei numeratori.